Solve this following

Question:

Evaluate the following integrals:.

(i) $\int \frac{1-\cos x}{1+\cos x} d x$

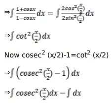
(ii) $\int \frac{1+\cos x}{1-\cos x} d x$

Solution:

Leave a comment