Solve this following

Question:

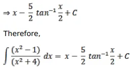
Evaluate:

$\int \frac{\left(x^{2}-1\right)}{\left(x^{2}+4\right)} d x$

Solution:

Leave a comment