Solve this following

Question:

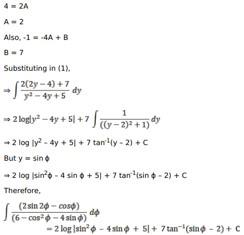
Evaluate:

$\int \frac{(2 \sin 2 \phi-\cos \phi)}{\left(6-\cos ^{2} \phi-4 \sin \phi\right)} d \phi$

Solution:

Leave a comment