Solve this following

Question:

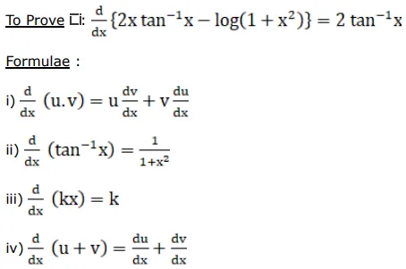
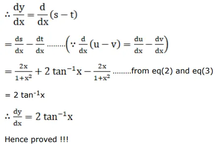
Prove that $\frac{d}{d x}\left\{2 x \tan ^{-1} x-\log \left(1+x^{2}\right)\right\}=2 \tan ^{-1} x$

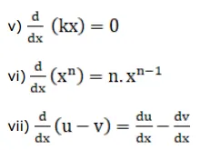
Solution:

Leave a comment