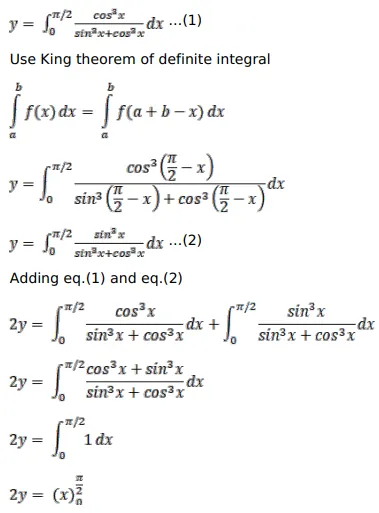
Solve this following

Question:

Prove that

$\int_{0}^{\pi / 2} \frac{\cos ^{3} x d x}{\left(\sin ^{3} x+\cos ^{3} x\right)}=\frac{\pi}{4}$

Solution:

Leave a comment