Solve this following

Question:

Find , when:

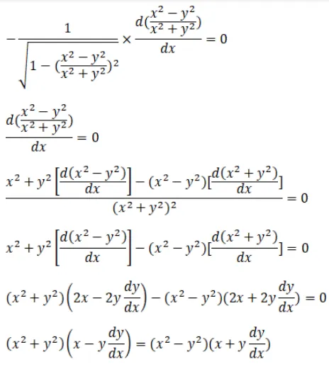
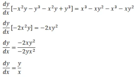
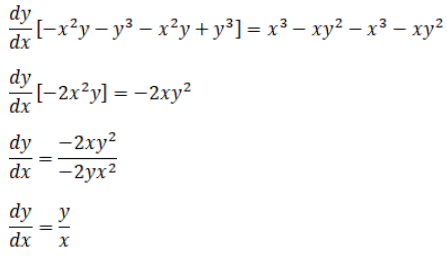
If $\cos ^{-1}\left(\frac{x^{2}-y^{2}}{x^{2}+y^{2}}\right)=\tan ^{-1} a$, prove that $\frac{d y}{d x}=\frac{y}{x}$

Solution:

Leave a comment