Solve this following

Question:

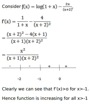
Prove that the function $f(x)=\log (1+x)-\frac{2 x}{(x+2)}$ is increasing for all $x>-1$.

Solution:

Leave a comment