Solve this following

Question:

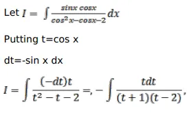
Evaluate:

$\int \frac{\sin x \cos x}{\left.\cos ^{2} x-\cos x-2\right)} d x$

Solution:

Leave a comment