Solve this following

Question:

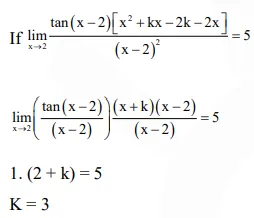
If $\lim _{x \rightarrow 2} \frac{\tan (x-2)\left\{x^{2}+(k-2) x-2 k\right\}}{x^{2}-4 x+4}=5$ then $k$ is equal to

  1. 3

  2. 1

  3. 0

  4. 2


Correct Option: 1

Solution:

 

Leave a comment