Solve this following

Question:

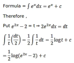
Evaluate the following integrals:

$\int \frac{e^{2 x}}{\left(e^{2 x}-2\right)} d x$

Solution:

Leave a comment