Solve this following
Question:
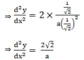
If $x=a\left(\cos \theta+\log \tan \frac{\theta}{2}\right)$ and $y=a \sin \theta$, show that the value of $\frac{d^{2} y}{d x^{2}}$ at $\theta=\frac{\pi}{4}$ is $\frac{2 \sqrt{2}}{a}$.
Solution:


