Solve this following

Question:

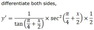
If $y=\log \tan \left(\frac{\pi}{4}+\frac{x}{2}\right)$, show that $\frac{d y}{d x}=\sec x$

Solution:

Leave a comment