Solve this following

Question:

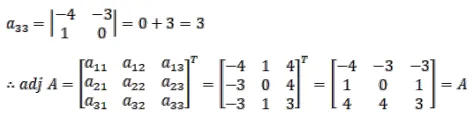
If $A=\left[\begin{array}{ccc}-4 & -3 & -3 \\ 1 & 0 & 1 \\ 4 & 4 & 3\end{array}\right]$, show that adj $A=A$

Solution:

Thus, adj $A=A$

Hence Proved

Leave a comment