Question:
Mark $(\sqrt{)}$ against the correct answer in each of the following:
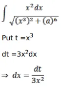
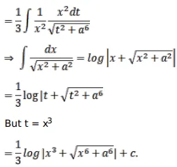
$\int \frac{x^{2} d x}{\sqrt{x^{6}+a^{6}}} d x=?$
A. $\frac{1}{3} \log \left|x^{6}+a^{6}\right|+C$
B. $\frac{1}{3} \tan ^{-1}\left(\frac{x^{3}}{a^{3}}\right)+C$
C. $\frac{1}{3} \log \left|x^{3}+\sqrt{x^{6}+a^{6}}\right|+C$
D. none of these
Solution:

