Question:
Mark $(\sqrt{ })$ against the correct answer in each of the following:
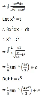
$\int \frac{3 x^{2}}{\sqrt{9-16 x^{6}}} d x=?$
A. $\frac{1}{4} \sin ^{-1}\left(\frac{x^{3}}{3}\right)+C$
B. $\frac{1}{4} \sin ^{-1}\left(\frac{4 x^{3}}{3}\right)+C$
C. $4 \sin ^{-1}\left(\frac{x^{3}}{4}\right)+C$
D. none of these
Solution:
