Solve this following

Question:

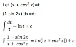
Evaluate:

$\int \frac{(1-\sin 2 x)}{\left(x+\cos ^{2} x\right)} d x$

Solution:

Leave a comment