Solve this following

Question:

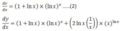
If $y=x^{\log x}+(\log x)^{x}$, prove that $\frac{d y}{d x}=x^{(\log x)}\left\{\frac{2 \log x}{x}\right\}+(\log x)^{x}\left\{\frac{1}{\log x}+\log (\log x)\right\}$

Solution:

Leave a comment