Solve this following

Question:

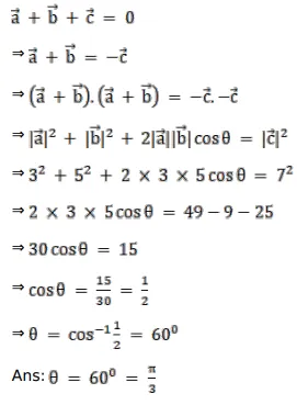
If $\vec{a}+\vec{b}+\vec{c}=\overrightarrow{0},|\vec{a}|=3,|\vec{b}|=5$ and $|\vec{c}|=7$, find the angle between $\vec{a}$ and $\vec{b}$.

Solution:

Leave a comment