Solve this following

Question:

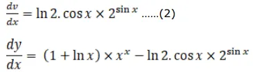
Find $\frac{\mathrm{dy}}{\mathrm{dx}}$, when:

$y=x^{x}-2^{\sin x}$

Solution:

Leave a comment