Solve this following

Question:

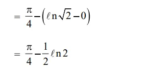
The value of the integral $\int_{0}^{1} x \cot ^{-1}\left(1-x^{2}+x^{4}\right) d x$ is :-

  1. $\frac{\pi}{4}-\frac{1}{2} \log _{\mathrm{e}} 2$

  2. $\frac{\pi}{2}-\log _{\mathrm{e}} 2$

  3. $\frac{\pi}{2}-\frac{1}{2} \log _{\mathrm{e}} 2$

  4. $\frac{\pi}{4}-\log _{\mathrm{e}} 2$


Correct Option: 1

Solution:

 

Leave a comment