Solve this following

Question:

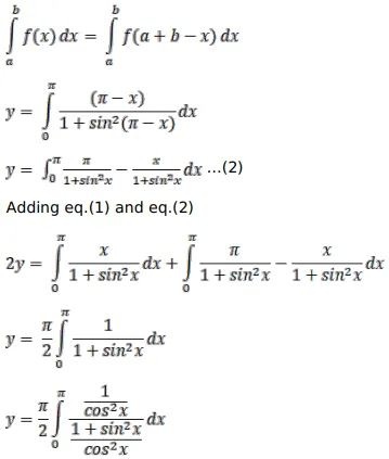
Prove that

$\int_{0}^{\pi} \frac{x}{\left(1+\sin ^{2} x\right)} d x=\frac{\pi^{2}}{2 \sqrt{2}}$

Solution:

 

Leave a comment