Solve this following

Question:

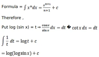
Evaluate the following integrals:

$\int \frac{\cot x}{\log (\sin x)} d x$

Solution:

Leave a comment