Solve this following

Question:

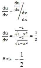
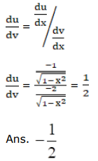
Differentiate $\tan ^{-1}\left(\frac{\sqrt{1-x^{2}}}{x}\right)$ with respect to $\cos ^{-1}\left(2 x \sqrt{1-x^{2}}\right)$ when $x \neq 0$

 

Solution:

 

Leave a comment