Solve this following
Question:
Mark $(\sqrt{ })$ against the correct answer in each of the following:
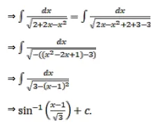
$\int \frac{d x}{\sqrt{2+2 x-x^{2}}}=?$
A. $\sin ^{-1}\left(\frac{x-1}{\sqrt{3}}\right)+C$
B. $\sin ^{-1}\left(\frac{x-1}{\sqrt{2}}\right)+C$
C. $\sin ^{-1} \sqrt{3}(x-1)+C$
D. none of these
Solution:
