Solve this following
Question:
Mark $(\sqrt{)}$ against the correct answer in each of the following:
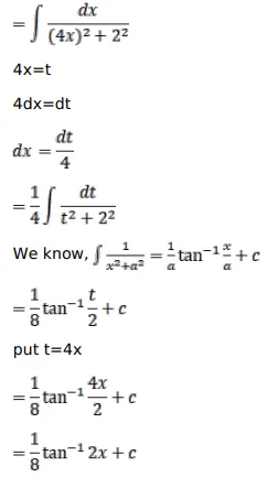
$\int \frac{d x}{\left(4+16 x^{2}\right)}=?$
A. $\frac{1}{32} \tan ^{-1} 4 \mathrm{x}+\mathrm{C}$
B. $\frac{1}{16} \tan ^{-1} \frac{x}{2}+C$
C. $\frac{1}{8} \tan ^{-1} 2 \mathrm{x}+\mathrm{C}$
D. $\frac{1}{4} \tan ^{-1} \frac{\mathrm{x}}{2}+\mathrm{C}$
Solution:
