Question:
Find the value of $\lambda$ for which the four points with position vectors $(\hat{i}+2 \hat{j}+3 \hat{k})$ $(3 \hat{\mathrm{i}}-\hat{\mathrm{j}}+2 \hat{\mathrm{k}}),(-2 \hat{\mathrm{i}}+\lambda \hat{\mathrm{j}}+\hat{\mathrm{k}})$ and $(6 \hat{\mathrm{i}}-4 \hat{\mathrm{j}}+2 \hat{\mathrm{k}})$ are coplanar.
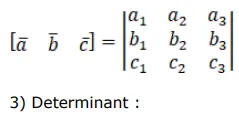
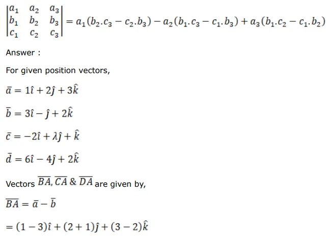
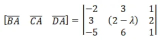
Solution:






