Solve this following

Question:

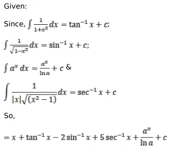
Evaluate:

$\int\left[1+\frac{1}{\left(1+x^{2}\right)}-\frac{2}{\sqrt{1-x^{2}}}+\frac{5}{x \sqrt{x^{2}-1}}+a^{x}\right] d x$

Solution:

Leave a comment