Solve this following

Question:

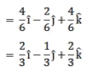
If $A(-2,1,2)$ and $B(2,-1,6)$ are two given points, find a unit vector in the direction of $\overrightarrow{A B}$.

Solution:

Leave a comment