Solve this following

Question:

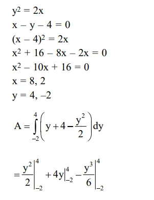
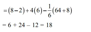
The area (in sq. units) of the region

$A=\left\{(x, y): \frac{y^{2}}{2} \leq x \leq y+4\right\}$ is :-

  1. $\frac{53}{3}$

  2. 18

  3. 30

  4. 16


Correct Option: , 2

Solution:

Leave a comment