Solve this following

Question:

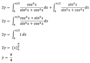
Prove that

$\int_{0}^{\pi / 2} \frac{d x}{\left(1+\tan ^{3} x\right)}=\frac{\pi}{4}$

Solution:

Leave a comment