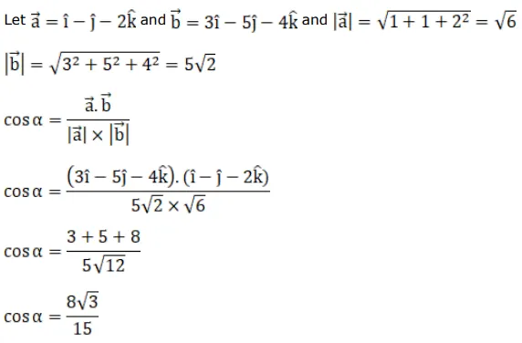
Question:
The angle between the lines $\overrightarrow{\mathrm{r}}=(3 \hat{\mathrm{i}}+\hat{\mathrm{j}}-2 \hat{\mathrm{k}})+\lambda(\hat{\mathrm{i}}-\hat{\mathrm{j}}-2 \hat{\mathrm{k}})$ and $\overrightarrow{\mathrm{r}}=(2 \hat{\mathrm{i}}-\hat{\mathrm{j}}-5 \hat{\mathrm{k}})+\mu(3 \hat{\mathrm{i}}-5 \hat{\mathrm{j}}-4 \hat{\mathrm{k}})$ is
A. $\cos ^{-1}\left(\frac{8 \sqrt{3}}{15}\right)$
B. $\cos ^{-1}\left(\frac{6 \sqrt{2}}{5}\right)$
C. $\cos ^{-1}\left(\frac{5 \sqrt{3}}{8}\right)$
D. $\cos ^{-1}\left(\frac{5 \sqrt{2}}{6}\right)$
Solution:
