Solve this following

Question:

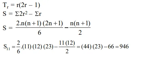
The sum of the series $1+2 \times 3+3 \times 5+4 \times 7+\ldots$

upto $11^{\text {th }}$ term is :-

 

  1. 915

  2. 946

  3. 945

  4. 916


Correct Option: , 2

Solution:

 

Leave a comment