Solve this following
Question:
If $\hat{\mathrm{a}}$ and $\hat{\mathrm{b}}$ are unit vectors inclined at an angle $\theta$ then prove that:
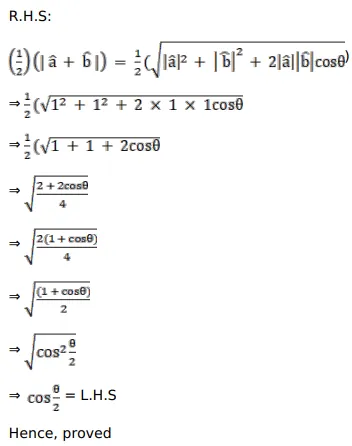
i. $\cos \frac{\theta}{2}=\frac{1}{2}|\hat{a}+\hat{b}|$
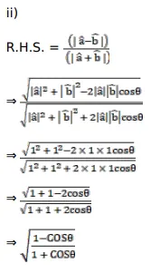
ii. $\tan \frac{\theta}{2}=\frac{|\hat{\mathrm{a}}-\hat{\mathrm{b}}|}{|\hat{\mathrm{a}}+\hat{\mathrm{b}}|}$
Solution:


