Solve this following

Question:

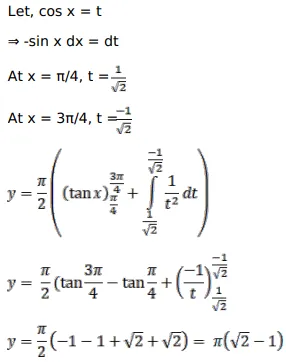
Prove that

$\int_{\pi / 4}^{3 \pi / 4} \frac{x}{(1+\sin x)} d x=\pi(\sqrt{2}-1)$

Solution:

Leave a comment