Solve this following

Question:

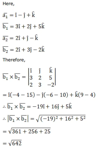
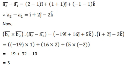
Show that the lines $\frac{x-1}{3}=\frac{y+1}{2}=\frac{z-1}{5}$ and $\frac{x-2}{2}=\frac{y-1}{3}=\frac{z+1}{-2}$ do not intersect each other. 

Solution:

Leave a comment