Solve this following

Question:

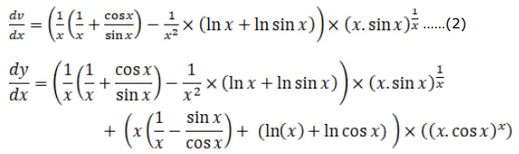
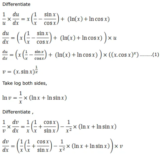
Find $\frac{d y}{d x}$, when:

$y=(x \cos x)^{x}+(x \sin x)^{1 / x}$

Solution:

Leave a comment