Solve this following

Question:

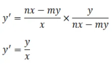
If $x^{m} y^{n}=(x+y)^{m+n}$, prove that $\frac{d y}{d x}=\frac{y}{x}$

Solution:

Leave a comment