Solve this following

Question:

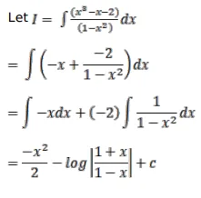
Evaluate:

$\int \frac{\left(x^{3}-x-2\right)}{\left(1-x^{2}\right)} d x$

Solution:

Leave a comment