Solve this following

Question:

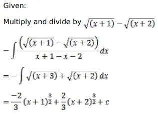
Evaluate:

$\int \frac{d x}{(\sqrt{x+1}+\sqrt{x+2})}$

Ans. $\frac{2}{3}(\mathrm{x}+2)^{3 / 2}-\frac{2}{3}(\mathrm{x}+1)^{3 / 2}+\mathrm{C}$

Solution:

Leave a comment