Question:
Mark $(\sqrt{)}$ against the correct answer in each of the following:
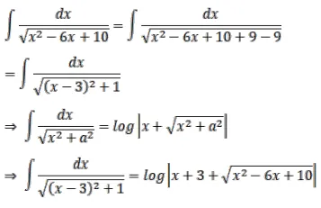
$\int \frac{d x}{\sqrt{x^{2}-6 x+10}}=?$
A. $\log \left|x+\sqrt{x^{2}-6 x+10}\right|+C$
B. $\log \left|(x-3)+\sqrt{x^{2}-6 x+10}\right|+C$
C. $\log \left|x-\sqrt{x^{2}-6 x+10}\right|+C$
D. none of these
Solution:
