Solve this following

Question:

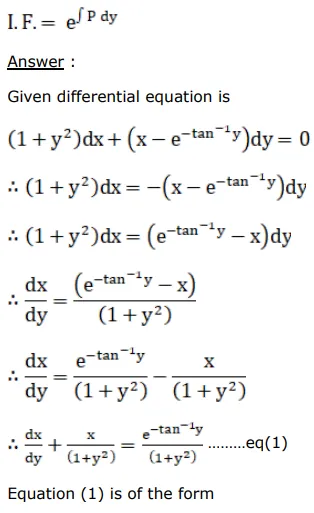
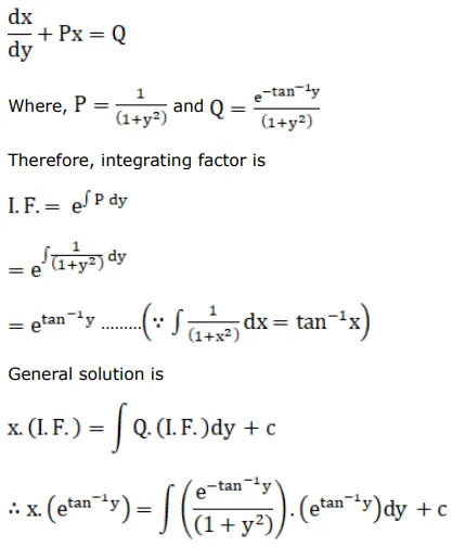
Solve $\left(1+\mathrm{y}^{2}\right) \mathrm{dx}+\left(\mathrm{x}-\mathrm{e}^{-\tan ^{-1} \mathrm{y}}\right) \mathrm{dy}=0$, given that when $y=0$, then $x=0$

Solution:

Leave a comment