Solve this following

Question:

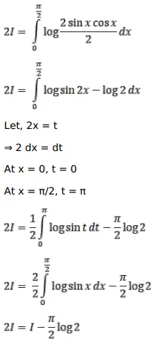
Prove that

$\int_{0}^{\pi / 2} \log (\sin 2 x) d x=-\frac{\pi}{2}(\log 2)$

Solution:

Leave a comment