Solve this following

Question:

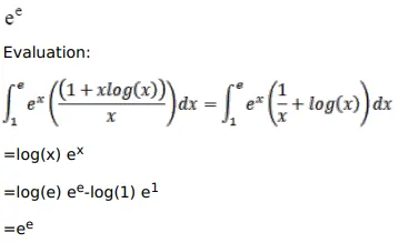
Evaluate:

$\int_{1}^{e} e^{x}\left(\frac{1+x \log x}{x}\right) d x$

Solution:

Leave a comment