Solve this following

Question:

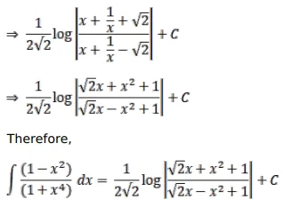
Evaluate:

$\int \frac{\left(1-x^{2}\right)}{\left(1+x^{4}\right)} d x$

Solution:

Leave a comment