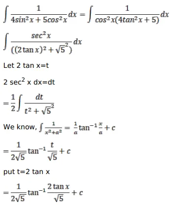
Question:
Mark $(\sqrt{)}$ against the correct answer in each of the following:
$\int \frac{d x}{\left(4 \sin ^{2} x+5 \cos ^{2} x\right)}=?$
A. $\frac{1}{2} \tan ^{-1}\left(\frac{\tan x}{\sqrt{5}}\right)+C$
B. $\frac{1}{\sqrt{5}} \tan ^{-1}\left(\frac{\tan x}{\sqrt{5}}\right)+C$
C. $\frac{1}{2 \sqrt{5}} \tan ^{-1}\left(\frac{2 \tan x}{\sqrt{5}}\right)+C$
D. none of these
Solution:
