Question:
Mark $(\sqrt{)}$ against the correct answer in each of the following:
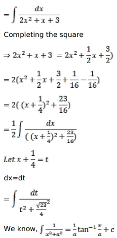
$\int \frac{\mathrm{dx}}{\left(2 \mathrm{x}^{2}+\mathrm{x}+3\right)}=?$
A. $\frac{1}{\sqrt{23}} \tan ^{-1}\left(\frac{4 \mathrm{x}+1}{\sqrt{23}}\right)+\mathrm{C}$
B. $\frac{1}{\sqrt{23}} \tan ^{-1}\left(\frac{\mathrm{x}+1}{\sqrt{23}}\right)+\mathrm{C}$
C. $\frac{2}{\sqrt{23}} \tan ^{-1}\left(\frac{4 \mathrm{x}+1}{\sqrt{23}}\right)+\mathrm{C}$
D. none of these
Solution:

