Question:
Mark $(\sqrt{)}$ against the correct answer in each of the following:
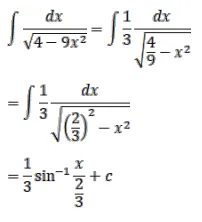
$\int \frac{d x}{\sqrt{4-9 x^{2}}}=?$
A. $\frac{1}{3} \sin ^{-1} \frac{x}{3}+C$
B. $\frac{2}{3} \sin ^{-1}\left(\frac{2 x}{3}\right)+C$
C. $\frac{1}{3} \sin ^{-1}\left(\frac{3 x}{2}\right)+C$
D. none of these
Solution:

