Solve this following

Question:

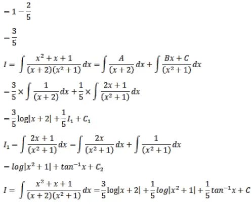
Evaluate:

$\int \frac{\left(x^{2}+x+1\right)}{(x+2)\left(x^{2}+1\right)} d x$

Solution:

 

Leave a comment