Solve this following

Question:

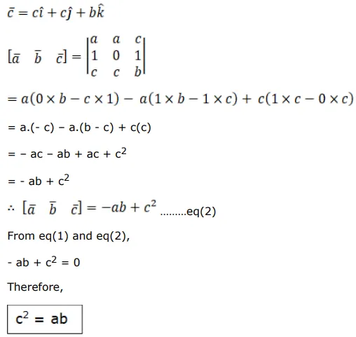
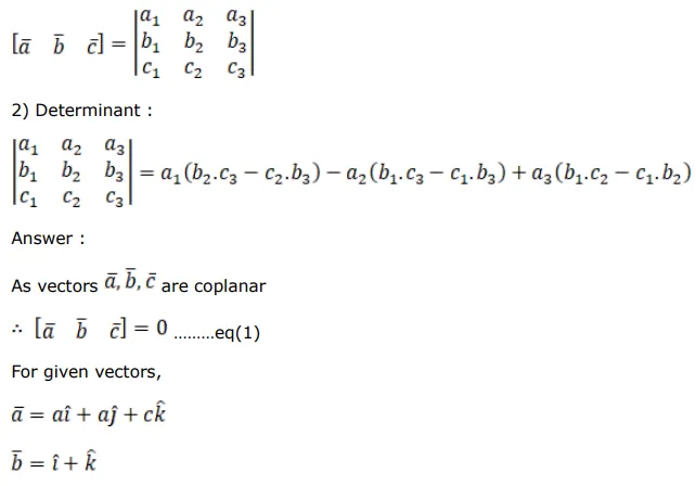
If the vectors $(a \hat{i}+a \hat{j}+c \hat{k}),(\hat{i}+\hat{k})$ and $(c \hat{i}+c \hat{j}+b \hat{k})$ be coplanar, show that $c^{2}=a b$

Solution:

Then,

Leave a comment