Solve this following

Question:

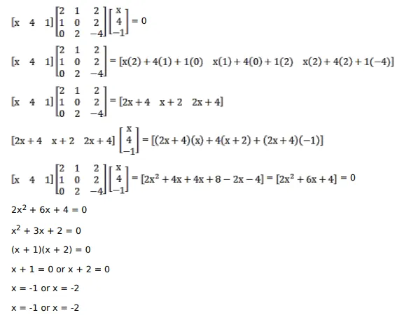
If $\left[\begin{array}{lll}x & 4 & 1\end{array}\right]\left[\begin{array}{ccc}2 & 1 & 2 \\ 1 & 0 & 2 \\ 0 & 2 & -4\end{array}\right]\left[\begin{array}{r}x \\ 4 \\ -1\end{array}\right]=O$, find $x$

Solution:

 

Leave a comment